seismometer.configuration.model.EventDictionary

pydantic model seismometer.configuration.model.EventDictionary

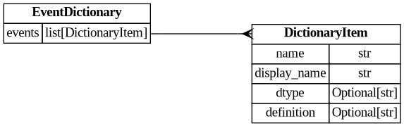
The dictionary information for events data.

This is the structure of a dictionary file corresponding to the event frame. Generally, the events frame is all the information not known near model execution time - such as target, interventions, and outcomes.

Show Entity Relationship Diagram
digraph "Entity Relationship Diagram created by erdantic" {
   graph [fontcolor=gray66,
      fontname="Times New Roman,Times,Liberation Serif,serif",
      fontsize=9,
      nodesep=0.5,
      rankdir=LR,
      ranksep=1.5
   ];
   node [fontname="Times New Roman,Times,Liberation Serif,serif",
      fontsize=14,
      label="\N",
      shape=plain
   ];
   edge [dir=both];
   "seismometer.configuration.model.DictionaryItem"   [label=<<table border="0" cellborder="1" cellspacing="0"><tr><td port="_root" colspan="2"><b>DictionaryItem</b></td></tr><tr><td>name</td><td port="name">str</td></tr><tr><td>display_name</td><td port="display_name">str</td></tr><tr><td>dtype</td><td port="dtype">Optional[str]</td></tr><tr><td>definition</td><td port="definition">Optional[str]</td></tr></table>>,
      tooltip="seismometer.configuration.model.DictionaryItem&#xA;&#xA;Defines a generic dictionary item.&#xA;"];
   "seismometer.configuration.model.EventDictionary"   [label=<<table border="0" cellborder="1" cellspacing="0"><tr><td port="_root" colspan="2"><b>EventDictionary</b></td></tr><tr><td>events</td><td port="events">list[DictionaryItem]</td></tr></table>>,
      tooltip="seismometer.configuration.model.EventDictionary&#xA;&#xA;The dictionary information for events data.&#xA;&#xA;This is the structure \
of a dictionary file corresponding to the event frame.&#xA;Generally, the events frame is all the information not known near model \
execution time - such as target,&#xA;interventions, and outcomes.&#xA;"];
   "seismometer.configuration.model.EventDictionary":events:e -> "seismometer.configuration.model.DictionaryItem":_root:w   [arrowhead=crownone,
      arrowtail=nonenone];
}

Show JSON schema
{
   "title": "EventDictionary",
   "description": "The dictionary information for events data.\n\nThis is the structure of a dictionary file corresponding to the event frame.\nGenerally, the events frame is all the information not known near model execution time - such as target,\ninterventions, and outcomes.",
   "type": "object",
   "properties": {
      "events": {
         "default": [],
         "items": {
            "$ref": "#/$defs/DictionaryItem"
         },
         "title": "Events",
         "type": "array"
      }
   },
   "$defs": {
      "DictionaryItem": {
         "description": "Defines a generic dictionary item.",
         "properties": {
            "name": {
               "title": "Name",
               "type": "string"
            },
            "display_name": {
               "default": "",
               "title": "Display Name",
               "type": "string"
            },
            "dtype": {
               "anyOf": [
                  {
                     "type": "string"
                  },
                  {
                     "type": "null"
                  }
               ],
               "default": null,
               "title": "Dtype"
            },
            "definition": {
               "anyOf": [
                  {
                     "type": "string"
                  },
                  {
                     "type": "null"
                  }
               ],
               "default": null,
               "title": "Definition"
            }
         },
         "required": [
            "name"
         ],
         "title": "DictionaryItem",
         "type": "object"
      }
   }
}

Fields:
field events: list[DictionaryItem] = []

The list of all columns in the events data.

get(key, default=None)

Get the definition of an item.

Parameters:
  • key (str) – The column name.

  • default (Optional[Any]) – The default value to return if the key is not found, defaults to None.

Return type:

The DictionaryItem with name specified or the default value